Moving Point Charge
(Grace Townsend Spring 2017)
Vaishnavi Manivannan, Spring 2024
Blake Heard, Fall 2017
Will Simonson, Fall 2024
The Main Idea
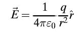
As we have learned, a point charge creates an Electric Field that is given by Coulomb's Law:
However, when a point charge moves with some velocity, it not only creates an electric field, but it also creates a magnetic field that curls around the charge.
A Mathematical Model
The magnetic field of a moving point charge has units in Teslas (T) and can be found using a derivation of the Biot-Savart Law for magnetic fields:
where: [math]\displaystyle{ \frac{\mu_0}{4*\pi} = 1*10^{-7} \frac{T * m^2}{C * \frac{m}{s}} }[/math]
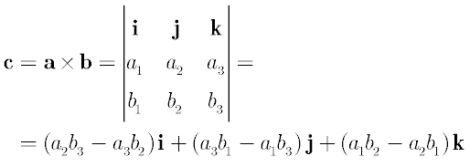
In this equation, q represents the scalar charge of the particle, [math]\displaystyle{ \vec v }[/math] is the vector velocity of the moving particle, and [math]\displaystyle{ \hat r }[/math] is a unit vector that points from the charge to the observation location. [math]\displaystyle{ \vec v \times \hat r }[/math] is a cross product that can be computed by the formula:
This cross product can also be expressed in terms of magnitude: [math]\displaystyle{ \left\vert \vec v \times \hat r \right\vert = \left\vert \vec v \right\vert \left\vert \hat r \right\vert \sin \theta }[/math]
[math]\displaystyle{ \theta }[/math] in this formula represents the angle between [math]\displaystyle{ \vec v }[/math] and [math]\displaystyle{ \hat r }[/math] when they are placed tail to tail.
The easiest way to determine the direction of [math]\displaystyle{ \vec v \times \hat r }[/math] is the Right Hand Rule. However, it is important to remember to take into account the charge of the particle from the Biot-Savart Law. If the particle is positively charged, the magnetic field will point in the same direction as [math]\displaystyle{ \vec v \times \hat r }[/math], while the magnetic field will point in the opposite direction as [math]\displaystyle{ \vec v \times \hat r }[/math] if the particle is negatively charged.
A Computational Model
VPython can easily model the magnetic field created by a moving charged particle. Check out this code: Magnetic Field for a Positively Charged Particle. As the particle travels towards the observation location, it creates a magnetic field that grows in magnitude the closer the particle is to the observation location. As the proton gets farther away, the magnetic field decreases in magnitude as expected.
Now compare with this code: Magnetic Field for a Negatively Charged Particle. This negatively charged particle is the exact same as the positively charged particle in all but its sign. Looking carefully reveals that this change in sign has reversed the direction of the magnetic field from what it was in the positively charged particle demo.
Examples
Simple
At a particular instant, a proton at the origin has a velocity, [math]\displaystyle{ \vec v }[/math] of < 4e4, -3e4, 0 > m/s. Calculate the magnetic field at the observation location < 0.03, 0.06, 0 > m, due to the moving proton.
Solution:
1. First, find [math]\displaystyle{ \vec r }[/math] and [math]\displaystyle{ \hat r }[/math]. Subtracting the observation location from the source location gives us
[math]\displaystyle{ \vec r = }[/math] < 0.03, 0.06, 0 >.
The unit vector can then be found with the formula [math]\displaystyle{ \hat r = \frac{\vec r}{\left\vert \vec r \right\vert} }[/math], which results in
[math]\displaystyle{ \hat r = }[/math] < 0.447, 0.894, 0 >.
2. Once we have both [math]\displaystyle{ \vec v }[/math] and [math]\displaystyle{ \hat r }[/math], we can take their cross product and solve the Biot-Savart Law. The resulting cross product is < 0, 0, 49200 >.
3. Finally, we can finish solving the Biot-Savart Law by multiplying the charge of a proton, [math]\displaystyle{ 1.6*10^{-19} }[/math], to our cross product from step 2 and dividing that by [math]\displaystyle{ \left\vert \vec r \right\vert^2 }[/math]. To finish, multiply by the constant: [math]\displaystyle{ \frac{\mu_0}{4*\pi} = 1*10^{-7} \frac{T * m^2}{C * \frac{m}{s}} }[/math]
The final answer will be [math]\displaystyle{ \lt 0, 0, 1.75*10^{-19}\gt }[/math] T
Medium
The electron in the figure below is traveling with a speed of [math]\displaystyle{ \left\vert \vec v \right\vert = 4*10^6 }[/math] m/s. What is the magnitude of the magnetic field at location A if [math]\displaystyle{ \left\vert \vec r \right\vert = 7*10^{-10} }[/math] m and [math]\displaystyle{ \theta = 57^\circ }[/math]?
Solution:
1. Since we are given speed and the distance, [math]\displaystyle{ q\vec v \times \hat r = q\left\vert \vec v \right\vert\sin \theta }[/math].
2. Now just plug into the Biot-Savart Law to find the final answer.
[math]\displaystyle{ \left\vert \vec B \right\vert = 1*10^{-7}\frac{q\left\vert \vec v \right\vert\sin \theta}{\left\vert \vec r \right\vert^2} }[/math]
The final answer will be approximately 0.11 T.
Complex
An electron is moving horizontally to the right with speed [math]\displaystyle{ 6*10^6 }[/math] m/s. What is the magnetic field due to this moving electron at the indicated locations in the figure? Each location is d = 8 cm from the electron, and the angle θ = 33°. Give both magnitude and direction of the magnetic field at each location.
Solution:
1. We are given the speed of an electron and its distance from other locations. Because of this, we can say: [math]\displaystyle{ q\vec v \times \hat r = q\left\vert \vec v \right\vert\sin \theta }[/math].
2. Now plug into the Biot-Savart Law to find the magnitude of each magnetic field.
[math]\displaystyle{ \left\vert \vec B \right\vert = 1*10^{-7}\frac{q\left\vert \vec v \right\vert\sin \theta}{\left\vert \vec r \right\vert^2} }[/math]
3. In order to find the direction of the magnetic fields, use the Right Hand Rule.
Locations P2 and P5 will have a magnitude of 0 for their magnetic fields and therefore no direction. The direction of the magnetic fields of P1 and P6 are into the page, while the direction of the magnetic fields of P3 and P4 are out of the page. P1, P3, P4, and P6 all have a magnitude of [math]\displaystyle{ 8.17*10^{-18} }[/math] T.
Important Applications
A single moving point charge represents the most simple situation of charges moving in space to produce a magnetic field. In reality, this situation rarely occurs, however understanding how a single moving point charge interacts to produce a field will allow you to understand how sets of moving charges produce a field in space as well.
We can use the magnetic field of a single moving charge formula to derive a more practical formula of a short current carrying wire:
Where dl is a vector pointing in the same direction as the conventional current This formula is more applicable to many real life situations where we can have macroscopic objects that can be used to calculate the magnetic field, such as the Magnetic Field of a Long Straight Wire or a Magnetic Field of a Loop.
We can apply the magnetic field formula to numerous situations by integration.
Magnetism and the Theory of Relativity
In 1905, Einstein made the claim that observers moving at different velocities will be affected differently by magnetic fields, and also stated that the electromagnetic field created by a moving point charge can be thought of as a single entity in the fourth dimension, and does so through the field strength tenor. A Lorenz Transformation relates the magnetic and electric fields from an original velocity to a new velocity by the observer through a transformation. An electric field in one frame can be seen as a combination of both a magnetic and electric field in another frame moving relative to the first.
Moving point charges and Quantum Theory
In 1955, The Ahanronov-Bohm Effect described magnetic fields affecting quantum particles that are not in the region of the magnetic field. This has to do with the phase of the quantum particle, with the interference pattern depending on electric flux as covered by Gauss's Law. Terms such as Vector Potential, g-factor (relating quantum spin and magnetic fields), where internal spin of an electron gives rise to a magnetic moment which will interact with an external field help scientists model more complicated aspects of point charge.
History
Oliver Heaviside first derived this relationship from Maxwell's Equations in 1888. The Biot-Savart Law was named after Jean-Baptiste Biot and Felix Savart who, in 1820, showed a needle deflection from a current carrying wire, thus relating electricity and magnetism. Pre Maxwellian's physics, magnetism and electricity were considered separate phenomena, where magnetics were associated with physical magnets while electricity was associated with static charges which was based on experiments involving electric circuits before Hands Christian Oersted and Ampere's experiments. In the early 20th century Albert Einstein delved further into the physics of electromagnetism, intertwining electromagnetism with relativity. Areas of the Quantum Field Theory state that the creation of a magnetic field by the moving charge is viewed as the result of quantum interactions between the charge and the electromagnetic field. Questions of magnetic monopoles have been raised in the present that pose more aspects to Maxwell's Equations.
See also
References
http://maxwell.ucdavis.edu/~electro/magnetic_field/pointcharge.html


