Felix Savart
this page has been claimed by Marie Kenvin(mkenvin3)
Born in Mézières, France on June 30, 1791, Felix Savart was both a Physician and a Physicist who focused his work on acoustics and vibrations.

Personal Life
Family
Savart was the son of Gérard Savart, who worked as an engineer at the military school of Metz. Savart also had a brother, Nicolas, who was an officer in the engineering corps that also did work involving vibrations.
Education
Initially, Savart studied to become a physician; he studied medicine at the military hospital in Metz from 1808-1810. From 1812-1814, Savart served in Napoleon's army as a regimental surgeon. In 1814, Savart then continued his studies at the University of Strasbourg from where he received his medical degree in 1816.
Work
In 1817, Savart returned to Metz and opened up a practice and began treating patients. On the side, Savart set up an experimental lab to research acoustics in musical instruments, specifically in the violin. With little interest in growing his practice, Savart left for Paris in 1819 to pursue his interests in physics. Biot, a friend of Savart's in Paris, was intrigued by the experimental work Savart was doing with violins and thus got Savart a position teaching physics at a private school, the Paris Academy of Sciences. In 1827, Savart was elected to the Academy of Sciences. In 1828, Savart began teaching acoustics as an experimental physics professor at the Collège of France.
Death
Savart held his position at the Collège of France until his death in 1841, shortly before he turned 50 years old.
Scientific Contributions
Biot-Savart Law
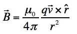
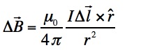
Savart teamed up with his colleague Jean-Baptiste Biot to study the connections between electric current and magnetic field. The pair began their research by directly measuring magnetic fields by using compass needles. Through the use of oscillating magnetic dipoles to determine the strength of the field close to a wire carrying current, Biot and Savart created the Biot-Savart Law. A joint Biot-Savart paper was published in 1820 reporting their findings. The Biot-Savart law treats magnetism as a fundamental property where as Ampere's law considers magnetism derived from electric currents. The Biot_Savart Law is a fundamental concept in modern electromagnetic theory. In addition, the Biot-Savart law is Savart's most famous work.
The Biot-Savart Law of a single charge.
The Biot-Savart law for a short thin length of wire.
The Biot-Savart Rule usage of the right-hand rule.
Savart's Disk
Also known as Savart's wheel.
Savart crated Savart's disk to aid his reach in determining the highest and lowest frequencies detectable by the human ear. The Savart disk is composed of a brass wheel with the edge cut into teeth, much like a gear wheel. Its erected such that it can be turned by a handle and a gear. In addition, a piece of card is attached to the edge and when this piece of card is struck by the teeth a note can be heard. In short, Savart constructed a rapidly rotating 600-toothed wheel.
The pitch created by the disk can be changed by altering the rate of rotation to correspond to any note desired. In addition, the frequency is calculated by the number of turns of the handle per second, the multiplication of the gear wheel, and the number of teeth on the outer wheel. This device made it possible to measure the frequency of any musical notes. Savart as able to estimate that the upper frequency of hearing is 24,000 vibrations per second.
Fun Facts
Interest in Violins
Savart was particularly interested in study the physics associated with the acoustics and vibrations of violins.
Savart's main research regarding violins focused on the free top and bottom plates; he implemented physics to alter the sounds the violins would emit. Savart, due to his physics knowledge, knew that two plates of the same size but different types of wood would produce sounds of varying frequencies while vibrating.
Savart is also famous in the musical industry for disregarding traditional violin shapes and using his extensive knowledge of physics and acoustics to construct violins that produced optimal tonal qualities. He designed a trapezoidal shaped violin (pictured below).
Further Reading
http://jhmas.oxfordjournals.org/content/XIV/10/411.extract
Sounds of Our Times: Two Hundred Years of Acoustics by Robert T. Beyer
References
"Cremona Violins." Google Books. Web. 1 Dec. 2015. <https://books.google.com/books?id=oZFHRfnKtYIC&pg=PA54&lpg=PA54&dq=felix savart&source=bl&ots=ugIGAoiwCE&sig=NHNe5GWlo9ZFbgJBQmPwXl2W0PA&hl=en&sa=X&ved=0ahUKEwiyq6Oxk7zJAhWM5SYKHdu-CuU4ChDoAQg2MAk#v=onepage&q=felix savart&f=false>.
"From Aristotle to Schrödinger." Google Books. Web. 1 Dec. 2015. <https://books.google.com/books?id=dUUnAQAAQBAJ&pg=PA197&dq=felix savart&hl=en&sa=X&ved=0ahUKEwjwtNfJkbzJAhXMmh4KHV1wB1EQ6AEIUTAJ#v=onepage&q=felix savart&f=false>.
"Nineteenth-century Scientific Instruments." Google Books. Web. 1 Dec. 2015. <https://books.google.com/books?id=FaAYfJYVNXQC&pg=PA136&lpg=PA136&dq=the savart disk&source=bl&ots=2zb27bNVDN&sig=RwZBURFXDJUR_2AXyv9sd6htI0o&hl=en&sa=X&ved=0ahUKEwjSoN3jyLvJAhUMKyYKHXwcBWAQ6AEIRTAH#v=onepage&q=the savart disk&f=false>.
"Savart, Félix." Complete Dictionary of Scientific Biography. 2008. Encyclopedia.com. 1 Dec. 2015 <http://www.encyclopedia.com>.
"Springer Handbook of Acoustics." Google Books. Web. 1 Dec. 2015. <https://books.google.com/books?id=oWExBgAAQBAJ&pg=PA14&lpg=PA14&dq=felix savart books&source=bl&ots=CHsR406Eif&sig=eU_-dZd-vMKKZfQS5Vh1opSDcRs&hl=en&sa=X&ved=0ahUKEwjjtrS6jrzJAhXDeSYKHQZVC-M4ChDoAQgiMAI#v=onepage&q=felix savart books&f=false>.
"The Nature of Science." Google Books. Web. 1 Dec. 2015. <https://books.google.com/books?id=JVj9SylSuB4C&pg=PA43&lpg=PA43&dq=felix savart contribution&source=bl&ots=yvpC0QuPhB&sig=QtV6ioM9VgixNVyIMFr9b4I_8Q8&hl=en&sa=X&ved=0ahUKEwiYr7fss7vJAhVFRSYKHXZSDMEQ6AEIOjAF#v=onepage&q=felix savart contribution&f=fals>.
http://www-groups.dcs.st-and.ac.uk/~history/Biographies/Savart.html



