Work
Written by: Jae Hyun Kim
(Contributed to by Alton Stovall- Fall 2018)
Work: The Main Idea
The word "work" has many different meaning in different contexts. The most popular use of the word, outside of the world of physics, relates to putting in some form of effort to complete a task whether it be, schoolwork, jobs, exercise etc.
In physics, it is easiest to think of work as energy produced by a force acting through a specific distance. From this definition, it can be seen that work is used in relation to the Energy Principle; therefore, the units of work are Joules (J). Additionally, from this definition, force (F) and distance (d) are the two major contributors to determining work. However, using the word "distance" can be misleading; the actual formula uses the displacement (∆r).
Some important things to note:
- The directions of motion and force in relation to each other. This concept will be looked into more in depth in the Mathematical Model section.
- With no displacement, no work is done.
While work may seem like a simple concept, it is nonetheless extremely essential in physics calculations as it is a core aspect of a fundamental principle, the conservation of energy. Work plays a major role in the transfer of energy from the surroundings to a system.This will be further discussed in the "connections" part.
A Mathematical Model
From this analysis of the definition from the previous section, the formula of Work is simply: [math]\displaystyle{ W = \vec{F} \bullet ∆\vec{r} }[/math]
Depending on the conditions of a specific problem, this formula can be modified to better fit what is being asked.
1) When the work is done by a constant force at an angle to the displacement:
[math]\displaystyle{ W = \overrightarrow{F} \bullet \Delta\overrightarrow{r} \cos(\theta) }[/math]
In reality, if the direction of the force is equal to the direction of the displacement, the "theta" aspect of this equation is equal to 0, meaning that cos(0) will just be 1. So, technically in certain situations this is the same as our generic formula.
2) When the work is done by a non-constant force:
[math]\displaystyle{ W=\int\limits_{i}^{f}\overrightarrow{F}\bullet\Delta\overrightarrow{r} = \sum\overrightarrow{F}\bullet\Delta\overrightarrow{r} }[/math]
This might be a little easier to understand for those who have exposure to calculus. The work done by a non-constant force is the summation of the products of the forces acting on a system and the change in position of the system. This can be denoted by an integral; work is equal to the integral of the force with respect to change in displacement. In a computational, or coding explanation, this is denoted in loops.
3) When work is done by gravity:
[math]\displaystyle{ W = F_g (y_2 - y_1) = F_g\Delta y = - mg\Delta y }[/math]
Notice that this is exact same formula as the generic formula, when the work is done by a constant force, except it is more specified. Notice that this is also similar to the formula for change in potential energy, which is:
[math]\displaystyle{ \Delta PE = mg\Delta y }[/math].
From this we can conclude that:
[math]\displaystyle{ W_g = -\Delta PE. }[/math]
In equations where vectors are present, a dot product method of multiplication is necessary. This is accomplished by multiplying x components, y components, and z components, then adding each x, y, and z component together. [math]\displaystyle{ W = \vec(F) \bullet \Delta\vec(r) = F_x\Delta x + F_y\Delta y + F_z\Delta z }[/math]
An important thing to note is the sign of work:
- If the force is in the same direction as motion, work is positive
- If the force is opposite the direction of motion, work is negative
- If the force is perpendicular to the direction of motion, work is zero
- If the displacement is zero, work is zero
A Computational Model
The work done on the system by the surroundings is dependent on the system that one decides to choose. For example, if one decides to include Earth as a part of the system while calculating the different forms of energies, the work done is 0. However, if one decides to count Earth as the surroundings, there is work done by Earth but the potential energy from the previous case is eliminated.
Because it is more difficult to use the momentum principle to update position of an object in motion, we typically do not use the Earth as a surrounding. Rather, we use earth as part of the system and calculate gravitational force as net force. The example of the code is below;
Examples
Be sure to show all steps in your solution and include diagrams whenever possible
Simple
A person picks up a 2kg box from the ground and lifts it up, moves 6 meters forward, and puts the box back down on the ground. What is the work done?
Solution:
The essence of this question is to apply the fact that the direction and the force has to be the same. Did the person apply a force in x direction? No. Thus, the x component of work is 0.
What about the Y component? Yes, the person did work against gravity. The magnitude of the work done when he pulled the box up can be calculated by the product of the mass, the gravitational acceleration, and the change in height (y). However, the overall change in displacement in terms of Y is 0, because he puts it back down.
Thus, the answer for this simple problem is 0.
Middling
Jack and Jill are maneuvering a 3200 kg boat near a dock. Initially the boat's position is \lt 2, 0, 3 \gt m and its speed is 1.1 m/s. As the boat moves to position \lt 4, 0, 2 \gt m, Jack exerts a force of \lt -430, 0, 215 \gt N, and Jill exerts a force of \lt 150, 0, 300 \gt N.
a. How much work does Jack do?
b. How much work does Jill do?
c. What is the final speed of the boat?
Solutions:
a) The work done is addition of all the components (x,y and z) So the calculation goes:
\ltmath\gtWjack = -430 * (4-2) + 0 * 0 + 215 * (2-3) = -1075
b) The work done by Jill is calculated the same
[math]\displaystyle{ Wjill = 150 * (4-2) + 0 * 0 + 300 * (2-3) = 0 }[/math]
c) To calculate the final speed, one must use the momentum principle. The two forms of energy present in this calculation is the kinetic energy and the work done. Thus,
[math]\displaystyle{ Ki + W = Kf }[/math] [math]\displaystyle{ KE = 1/2 * mass * V^2 }[/math]
Thus,
[math]\displaystyle{ Ki = 0.5 * 3200 * 1.1 ^ 2 = 1936J }[/math]
[math]\displaystyle{ Kf = 1936 - 1075 = 861J }[/math]
[math]\displaystyle{ Kf = 1/2 * mass * Vf^2 = 861 }[/math]
[math]\displaystyle{ Vf = 0.73 }[/math]
Difficult
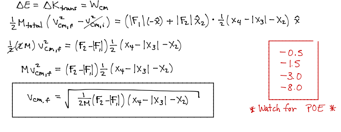
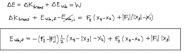
A system of two identical blocks and spring are initially at rest. The blocks have mass M (labeled 1 and 2) are connected by an unstretched spring and slide on a frictionless surface. As shown in the upper diagram, a constant force F1 is applied to block 1 and a constant force F2 is applied to block 2. Initially the first block is located at X1 = 0. At a later time, the blocks are in a new position as indicated in the lower diagram. Block 1 has moved to the left and block 2 has moved to the right. At this final time, the system is moving to the left, vibrating, and the spring is stretched. In this diagram, the positive x-direction is to the right.
a. How far did the center of mass of the extended system move
The main idea is that we have to calculate the change in displacement of the center of the mass not the force. Thus, we have to get the initial center of the mass, which is between x1 and x2, and the final position of the center of the mass, which is between x3 and x4. Getting the difference between two can yield the movement of the center of the mass.
b. Use the point particle system to determine the velocity of the center of mass for the system.
In the point particle system, we only take account of the kinetic transnational energy, and this is equivalent to the work done. The work is simply the change in displacement multiplied by the force. In this case, because there are two forces F1 and F2, one must calculate the edition of the both to get the net force.
C. Use the extended system to determine the final vibrational energy of the extended system.
In the extended system, we take acount of the kinetic transitional energy and the vibrational, of which sum is equivalent to the work.
Connectedness
1. How does this topic contribute to the overall physics?
The concept of work, seemingly an individual concept, is actually an essential part of the fundamental principle, the energy principle. According to the energy principle, the energy of a system is conserved unless the surrounding exerts a force upon the system. This force, when it causes the system to move, is called the work done by surrounding. Thus, it is important to consider work as part of the transitions in energy. Thus, when calculating the final and initial states of the potential and kinetic energy of a system after the work has been done, one can use the following formula:
2. How is this topic connected to something that you are interested in?
I a first year biomedical engineering major so I had to think a bit deeper to answer this question. I have concluded that the concept of work is actually prevalent throughout our body physiology. For example, in order for kinetic energy and potential energy of the muscles cells in our body to be changed, there must be an external force acting upon it changing its displacement. This concept is actually used especially in tissue engineering or biomechanics, which I would love to delve into in the future.
3. Is there an interesting industrial application?
Biomedical engineering is rather distant from the concept of work from other majors. Mechanical Engineering majors have a variety of interesting industrial applications that utilizes the concept of work. For example, when designing the engines of an airplane, mechanical engineers must take account of the work done by the engines of the airplane to win the gravitational pull that would attempt to crash the airplane. Without this concept of work, airplanes would not work.
History
The origins of energy and work are closely tied to observations made for heat or "phlogiston" as it was referred to centuries ago. Over time, the role of mathematics became more appreciated as a contributor to the underlying understanding of physical principles. Likewise, with the adoption of math at the forefront, a relationship between exerted force and displacement was discovered.
See also
Further reading
http://www.physicsclassroom.com/class/energy
External links
https://www.khanacademy.org/science/physics/work-and-energy
Khan academy does a great job in thoroughly explaining the concept of work using visualizations.







