Friction
This page describes several types of friction and explains how they affect systems.
The Main Idea
Friction is a force that resists movement between surfaces in contact. It is caused by the interactions between the molecules that make up objects. There are three types of friction: Static Friction, which resists motion between surfaces that are not moving with respect to each other; Kinetic Friction, which resists motion between surfaces that are moving with respect to each other; and fluid friction, which resists the motion of bodies moving through gases and liquids. When objects or substances touch, their surfaces of contact are not perfectly smooth on the molecular scale. The irregularities on these surfaces are ultimately responsible for all types of friction. All types of friction depend on the materials comprising the surfaces of the objects and substances involved, as well as on the normal force they exert on each other (that is, the force with which they are pressed together).
- Static Friction When two objects touch each other and there is no sliding between their surfaces of contact, they exert static friction forces on each other. The static friction force acting on each object opposes any force that would cause it to slide relative to the other object. For example, consider a heavy dresser at rest on the floor. If a child pushes against the side of the dresser in an attempt to slide it, that exerts a force on the dresser, but the ground would exert on it an equal and opposite static friction force that balances the force exerted by the child, so the dresser stays at rest. The static friction force can take on whatever direction and magnitude necessary to balance an external net force that threatens to cause sliding motion between two surfaces. However, the static friction force is limited by the maximum magnitude it can exert. If the external force becomes strong enough, the static friction force can be overcome and the surfaces can begin to slide, at which point the friction between the objects becomes kinetic. For example, now consider an adult pushing against the same heavy dresser. The adult can exert a stronger force than the child, and if it exceeds the maximum possible static friction force, the dresser can be set into motion and slid across the floor. Static friction is a result of the interlocking of rough surfaces. The protrusions on one surface settle into the grooves on the other when they are pressed together, and overcoming the interlocking requires a force strong enough to either break the protrusions or slide them past each other.
- Kinetic Friction When two objects touch each other and there is sliding between their surfaces of contact, they exert a kinetic friction force on each other. The kinetic friction force acting on each object acts in a direction opposite to its direction of motion relative to the other object. If the kinetic friction force is the only force acting on each object, they will eventually come to rest relative to each other, at which point the friction force between them becomes static. For example, consider a crate sliding across the floor. It will slow down and eventually come to rest due to the kinetic friction force between it and the floor, unless another force acts on it, such as the pushing of a person that wants to keep the crate moving. Kinetic friction force lowers the kinetic energy of a system, converting it to Thermal Energy. In other words, sliding between surfaces causes the surfaces to heat up. Usually in mechanical physics, this thermal energy is no longer considered part of the system and is considered lost because it usually dissipates into the environment without ever being converted back into mechanical energy. Kinetic friction is the result of abrasion between the protrusions of rough surfaces. The protrusions hit each other, sometimes causing them to break and always causing the molecules comprising them to wiggle. This increases the kinetic energy of the molecules at the sliding surfaces and reduces the kinetic energy of the macroscopic objects. Kinetic friction is also caused in part by the defThis molecular energy is thermal energy.
- Fluid friction When an object moves through a liquid or gas, the fluid exerts a force on the object in the direction opposite to its motion relative to the fluid. Air Resistance is one common example of fluid friction that can affect the motion of projectiles and other objects in the earth's atmosphere. In many problems, you are asked to assume that the effects of air resistance are negligible because it is often not as strong as other forces and can significantly complicate math. However, the force exerted on an object by air resistance can be significant depending on the mass and geometry of the object, and the fluid friction exerted by thicker fluids such as water are almost always significant. Fluid friction, like kinetic friction, causes the conversion of energy from kinetic to thermal.
In addition to the roughness of surfaces, friction is caused by a variety of other factors, including the adhesive inter-molecular attractions at the points of contact between the surfaces, as well as the deformation of the objects as they are pressed together. The exact causes of friction are still an area of active research.
Often, friction is thought of as opposing all motion. In reality, it opposes the relative motion between objects or substances, which can in some situations actually cause motion. For example, consider a person who starts at rest and begins to walk. In order to walk, the person's foot must push off of the ground. In the absence of static friction, which is nearly the case on an ice skating rink, the shoe would slip across the ground without pushing off; it is only because static friction opposes the relative motion between the person's foot and the ground that they are able to begin moving. Similarly, consider a stationary object placed onto a moving conveyor belt. There would be kinetic friction between the object and the belt, causing the object to accelerate until it reaches the velocity of the belt. Finally, consider a river sweeping away a log that was initially at rest. The log was initially at rest relative to the riverbank, but relative to the running water, it was moving! Fluid friction is what opposed this relative motion, bringing the log to the velocity of the river water. In each of these examples, motion is caused by friction.
Note that static friction is present between rolling objects and the surface on which they roll. For more information, see the "rolling friction" section on the Static Friction page.
A Mathematical Model
These formulas give the magnitudes of each kind of friction.
- Static Friction As described above, the magnitude of the static friction force ([math]\displaystyle{ F_s }[/math]) between two objects is bounded by a maximum value. This maximum static friction force is given by [math]\displaystyle{ F_{s, max} = \mu_s * N }[/math] where [math]\displaystyle{ \mu_s }[/math] is the coefficient of static friction of the objects and [math]\displaystyle{ N }[/math] is the normal force between the objects. [math]\displaystyle{ \mu_s }[/math] is a property of the materials of the surfaces in contact and is usually less than 1. [math]\displaystyle{ \mu_s }[/math] has no units because it is a ratio of one force to another.
- Kinetic Friction The magnitude of the kinetic friction force between objects is given by [math]\displaystyle{ F_k = \mu_k * N }[/math] where [math]\displaystyle{ \mu_k }[/math] is the coefficient of kinetic friction of the objects and [math]\displaystyle{ N }[/math] is the normal force between the objects. [math]\displaystyle{ \mu_k }[/math] is a property of the materials of the surfaces in contact and is usually less than 1. [math]\displaystyle{ \mu_k }[/math] has no units because it is a ratio of one force to another. Note that this formula indicates that the magnitude of the kinetic friction force does not depend on the speed of the sliding between the objects. For any given pair of surfaces, their [math]\displaystyle{ \mu_s }[/math] value is greater than their [math]\displaystyle{ \mu_k }[/math] value.
- Fluid Friction The magnitude of the fluid friction force acting on an object moving through a fluid is given by [math]\displaystyle{ F_{fl} = b * v }[/math], where [math]\displaystyle{ b }[/math] is the drag coefficient and [math]\displaystyle{ v }[/math] is the speed of the object relative to the fluid. If an object is given an initial velocity [math]\displaystyle{ v_0 }[/math] through a fluid and fluid friction is the only force acting on it, the following differential equation can be derived from the formula above along with Newton's second law: [math]\displaystyle{ \frac{dv}{dt} = -bv }[/math]. This is a separable differential equation, and solving it yields [math]\displaystyle{ v = v_0 e^{-bt} }[/math], showing that the velocity of an object moving through a fluid exponentially decays if no other forces act on it. Another concept worth exploring regarding fluid friction is terminal velocity. See Terminal Velocity and Friction Due to Air. Note: in some scenarios, the magnitude of the fluid friction force acting on an object is more nearly proportional to the square of the object's velocity than to the object's velocity itself, but that model of fluid friction lies outside the scope of this page.
A Computational Model
This is a simulation of a box sliding along a surface. At first it experiences no friction, but when it passes the red line, it experiences a constant kinetic friction due to the floor until it comes to rest.
https://trinket.io/glowscript/76028c1809
Examples
In addition to the problems below, try the problems on the Static Friction and Kinetic Friction pages for additional practice.
1. (Simple)
A 100kg box lies at rest on a flat table. The coefficient of static friction between the box and the table is [math]\displaystyle{ \mu_{s} = {.25} }[/math] and the coefficient of kinetic friction between the box and the table is [math]\displaystyle{ {μ}_{k} = {.15} }[/math]. What is the magnitude of the horizontal force required to move the block?
Solution:
Since the block is at rest, the friction between the box and the table is static. The magnitude of the horizontal force required to move the box must exceed the maximum static friction force, [math]\displaystyle{ F_{s, max} }[/math].
[math]\displaystyle{ {F}_{s, max} = \mu_s * N }[/math]
[math]\displaystyle{ \mu_s }[/math] is given. The normal force between the block and the table can be found by reasoning that it is equal in magnitude to the weight of the block, or the block would be accelerating up or down. The normal force is therefore given by
[math]\displaystyle{ N = m * g }[/math]
[math]\displaystyle{ N = 100 * 9.8 }[/math] Newtons
[math]\displaystyle{ {F}_{s} = {.25}*{100}*{9.8} = {245} }[/math] Newtons
The force necessary to move the box must be at least 245 Newtons.
2. (Middling)
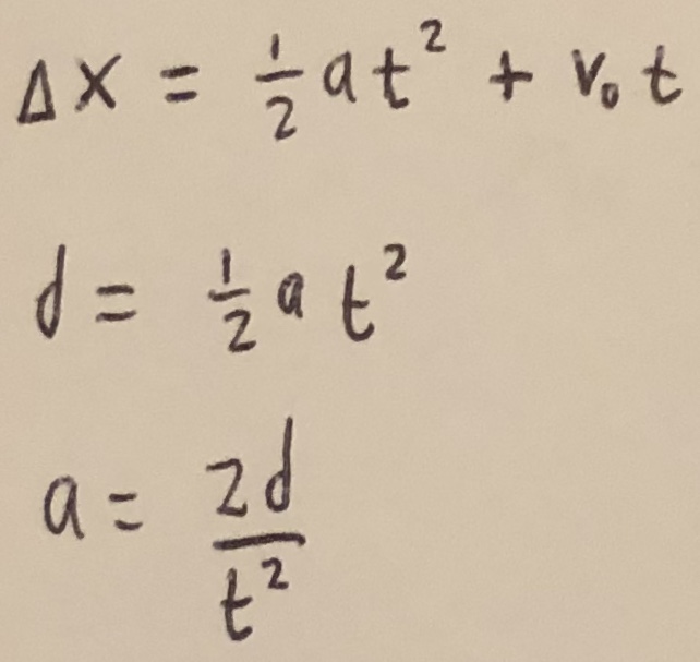
A block is released from rest on an inclined surface that makes angle [math]\displaystyle{ \theta }[/math] with the horizontal. The block takes an amount of time [math]\displaystyle{ t }[/math] to travel a diagonal distance [math]\displaystyle{ d }[/math] down the inclined surface. What is the coefficient of kinetic friction [math]\displaystyle{ \mu_k }[/math] between the block and the inclined surface?
Solution:
Since the normal force as well as the direction of the block's travel are constant, the kinetic friction force is constant too. Since the only forces acting on the block are gravity, the normal force, and kinetic friction, all of which are constant, the acceleration of the block must be constant. This allows us to use the following kinematic equation to solve for acceleration:
Let us say the block has mass [math]\displaystyle{ m }[/math]. Now we can use Newton's second law in the form [math]\displaystyle{ \vec{f}_{net} = m\vec{a} }[/math] to solve for the net force:
We know that F_{net} is the vector sum of gravity, the normal force, and the friction force. As with the traditional frictionless block-on-a-ramp problem, the component of gravity perpendicular to the inclined surface ([math]\displaystyle{ mg\cos\theta }[/math]) is balanced by the normal force, leaving the component of gravity parallel to the inclined surface ([math]\displaystyle{ mg\sin\theta }[/math]) pointing down along the ramp. However, there is now a third force we need to take into account: the friction force, which opposes the direction of the block's motion and therefore points up along the ramp.
Let us define the positive direction as down the ramp. This means the net force is given by
[math]\displaystyle{ F_{net} = mg\sin\theta - f_k }[/math].
Setting this equal to the expression for net force found earlier yields
3. (Middling)
Two blocks are stacked on top of one another on a frictionless surface. The top block, block A, has a mass of 2kg, and the bottom block, block B, has a mass of 4kg. The coefficient of static friction between the blocks is [math]\displaystyle{ \mu_s = .35 }[/math]. A horizontal rightward force, [math]\displaystyle{ F_A }[/math], is applied to block A. Find the maximum magnitude of [math]\displaystyle{ F_A }[/math] that can be applied to Block A so that the blocks stay together.
Solution:
Let us consider the forces acting on each of the two boxes. Let us define the rightward direction as the positive direction.
Forces on Block A:
[math]\displaystyle{ F_A - F_s }[/math]
Forces on Block B:
[math]\displaystyle{ F_s }[/math]
Since we want the blocks to move together, they must have the same acceleration. Let us call this acceleration a.
By using Newton's second law, [math]\displaystyle{ \vec{f} = m \vec{a} }[/math], we can come up with an equation for block A and an equation for block B, creating a system of equations:
Block A:
[math]\displaystyle{ F_A - F_s = 2 a }[/math]
Block B:
[math]\displaystyle{ F_s = 4 a }[/math]
Dividing the second equation by 2 yields
[math]\displaystyle{ \frac{1}{2}F_s = 2 a }[/math]
Substituting this value for 2a into the first equation yields
[math]\displaystyle{ F_A - F_s = \frac{1}{2}F_s }[/math]
[math]\displaystyle{ F_A = \frac{3}{2}F_s }[/math]
Connectedness
Friction is an important topic to understand because it has many industrial implications. Since friction can cause increases in temperature when objects move, engineers who work with moving objects must understand and account for friction to ensure systems work properly. For example, car engines must have proper oil and lubricants to prevent parts from scraping together and wearing down. Mechanical engineers, aerospace engineers, and civil engineers must deal with friction and its impacts every day!
See also
External links
Internet resources on this topic
Hyper Physics: http://hyperphysics.phy-astr.gsu.edu/hbase/frict.html#fri
PHET Simulation: https://phet.colorado.edu/en/simulation/friction
References
[1] Serway, Raymond A., and John W. Jewett. Physics for Scientists and Engineers. Boston, MA: Cengage Brooks/Cole, 2014. Print.
[2] Sherwood, Bruce A. Matter & Interactions. By Ruth W. Chabay. 4th ed. Vol. 1. N.p.: John Wiley & Sons, 2015. 45-50. Print. Modern Mechanics.





