Magnetic Field of a Long Thick Wire Using Ampere's Law
Claimed by Jeong-Eun Moon (Fall 2016)
The Main Idea
This section explains how to find the magnetic field near a long thick wire using Ampere's Law. Finding the magnetic field using Ampere's Law is very simple compared to finding it using the Biot-Savart law.
Formula for Ampere's Law
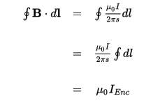
Here is the proof:
How to Find Magnetic Field of A Long Thick Wire
To find the magnetic field [math]\displaystyle{ B }[/math] at a distance [math]\displaystyle{ r }[/math] from the center of the long wire apply Ampere's Law. By the symmetry of the wire [math]\displaystyle{ B }[/math] will always be constant and tangential to the circular path at every point around the wire.
The magnetic field is everywhere parallel to the path for a circular path centered on wire. The direction of magnetic field can be determined by the right hand rule. The magnetic field's direction is perpendicular to the wire and is in the direction the fingers curl if you wrap the wire around. The direction of current is where your thumb points to.
The path integral [math]\displaystyle{ {{\oint}d\vec{l}} }[/math] in this situation is equal to the circumference of the circular path around the wire. This is equal to [math]\displaystyle{ 2πr }[/math].
Using the formula above and plugging in [math]\displaystyle{ {d\vec{l}} }[/math] we have: [math]\displaystyle{ {B(2πr) = μ_0I} }[/math]. To solve for [math]\displaystyle{ B }[/math] divide both sides by [math]\displaystyle{ 2πr }[/math].
This results in the equation: [math]\displaystyle{ {B = \frac{μ_0I}{2πr}} }[/math] which is equal to [math]\displaystyle{ {\frac{μ_02I}{4πr}} }[/math]. This is the equation for the magnetic field of a long thick wire that is found using the Biot-Savart law.
Examples
Simple
What is the magnetic field at a point 0.03 m away from a wire that has a current of 7 amperes?
Solution: [math]\displaystyle{ I=7 }[/math] and [math]\displaystyle{ r=0.03 }[/math]. So inserting this into the formula gives [math]\displaystyle{ {B = \frac{μ_0(7)}{2π(0.03)}} }[/math]. This results in 4.67e-5 T
Middling
A long straight wire suspended in the air carries a conventional current of 7.4 amperes in the -x direction as shown (the wire runs along the x-axis). At a particular instant an electron at location < 0, -0.004, 0 > m has velocity < -3.5 e5, -4.2 e5, 0 > m/s. What is the magnetic field due to the wire at the location of the electron?
Solution: [math]\displaystyle{ {B = \frac{μ_0(7.4)}{2π(0.004)}} }[/math] and use right hand rule. The answer is < 0, 0, 3.7e-4 > T.
Hard
Using the same values as in the middling problem calculate the magnetic force on the electron due to the wire.
Solution: The formula for magnetic force is [math]\displaystyle{ qv×B }[/math]. So by using the value for B computed above and calculating the cross product between B and qv we find that this equals < 2.49e-17, -2.07e-17, 0 > N. Don't forget that because this is the force on an electron q is negative.
See also
See the page on Ampere's Law for a more in depth look at the law itself: Ampere's Law
For more applications of Ampere's Law see: Magnetic Field of a Toroid Using Ampere's Law and Magnetic Field of Coaxial Cable Using Ampere's Law
Further reading
Chabay, Sherwood. (2015). Matter and Interactions (4th ed., Vol. 2). Raleigh, North Carolina: Wiley.
External links
http://hyperphysics.phy-astr.gsu.edu/hbase/magnetic/magcur.html
https://en.wikibooks.org/wiki/Electrodynamics/Ampere%27s_Law
References
Chabay, Sherwood. (2015). Matter and Interactions (4th ed., Vol. 2). Raleigh, North Carolina: Wiley. page 887.



