Felix Savart
this page has been claimed by Marie Kenvin
Born in Mézières, France on June 30, 1791, Felix Savart was both a Physician and a Physicist who focused his work on acoustics. He was particularly fascinated with the physics of the violin.

1. Personal Life and Education
Savart was the son of Gérard Savart, who worked as an engineer at the military school of Metz. Savart also had a brother, Nicolas, who was an officer in the engineering corps that also did work involving vibrations. Initially, Savart studied to become a physician; he studied medicine at the military hospital in Metz from 1808-1820. In 1814, Savart then continued his studies at the University of Strasbourg from where he received his medical degree in 1816. In 1817, Savart returned to Metz and opened up a practice and began treating patients. On the side, Savart set up an experimental lab to research acoustics in musical instruments, specifically in the violin. With little interest in growing his practice, Savart left for Paris in 1819.
Biot, a friend of Savart's in Paris, was intrigued by the experimental work Savart was doing with violins and thus got Savart a position teaching physics at a private school, the Paris Academy of Sciences. In 1827, Savart was elected to the Academy of Sciences. In 1828, Savart began teaching acoustics as an experimental physics professor at the Collège of France: Savart held this position until his death in 1841, shortly before he turned 50.
Scientific Contributions
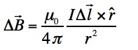
Biot-Savart Law
Savart teamed up with his colleague Jean-Baptiste Biot to study the connections between electric current and magnetic field. The pair began their research by directly measuring magnetic fields by using compass needles. Through the use of oscillating magnetic dipoles to determine the strength of the field close to a wire carrying current, Biot and Savart created the Biot-Savart Law. A joint Biot-Savart paper was published in 1820 reporting their findings. The Biot-Savart law treats magnetism as a fundamental property where as Ampere's law considers magnetism derived from electric currents. The Biot-Savart law is Savart's most famous work.
The Biot-Savart Law for a Single Charge.
The Biot-Savart Law for Currents.
The Biot- Savart Rule involves the usage of the right-hand rule.
References
"Savart, Félix." Complete Dictionary of Scientific Biography. 2008. Encyclopedia.com. 1 Dec. 2015 <http://www.encyclopedia.com>.
http://www-groups.dcs.st-and.ac.uk/~history/Biographies/Savart.html


