Inductors
Short Description of Inductors Rohan Mundkur (Fall 2016)
Inductors - Conceptual Overview
Think of self-induced emf as making a solenoid act like a battery that's been put in the circuit backwards- it opposes the change in current.
Inductance is the resistance of a circuit element to changes in current.
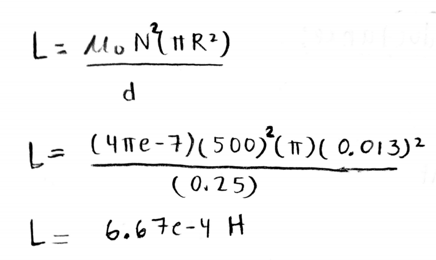
A Mathematical Explanation
Below are the mathematical equations that allow us to obtain inductance (L), and this process is also useful for test problems which may require you to find a missing variable within L.
Diagram of Inductance
How do we visualize or predict using this topic. Consider embedding some vpython code here Teach hands-on with GlowScript
Examples
Simple
If a solenoid is filled with iron, will it have a higher or lower inductance?
Answer: The solenoid will have a higher inductance, because the permeability constant has changed to the value of permeability of iron, which is much higher than that of free space. Therefore, the inductance will be higher with an iron core than with an air core.
Middling
A 500-turn solenoid has a radius of 1.3 cm and a length of 25 cm. What is the inductance of this solenoid? (Problem taken from Matter & Interactions, Volume 2)
Just plug the numbers into the formula:
Difficult
This problem is taken from this website: http://www.physics.umd.edu/ However, it is a great problem that delves into the difficulty of solving induced emf problems, since it can be more than just plugging in variables.
Connectedness
- How is this topic connected to something that you are interested in?
Self-inductance is extremely interesting because it counteracts the "previous" current. This means that there are many applications of it. For instance, you can use it in electric generators, electric motors, electric guitars, and transformers.
- Is there an interesting industrial application?
Yes, there is! Ever heard of an inductive loop detector? It's how traffic is controlled at some intersections. Basically, inductive loop detectors (ILD's) are located underneath the pavement. When a car passes, it acts as a conductor, and changes the inductance of the loop of conducting wire. The change in inductance is used to detect cars above, and thereby used to control traffic with the traffic signals.
- How is it connected to your major?
Self inductance does not directly relate to my major, which is biochemistry. However, there is a concept called the "inductive effect," which is similar in the way that it works. It is the electronic effect due to the polarization of σ bonds within a molecule. This is because of the electronegativity difference between the atoms at the ends of the bond.
Also, self-inductance is the change in electric current in a coil, and electrons and their effects are studied under chemistry. This would be known as physical chemistry.
History
What are the units of inductance, you may ask? Henries! A term named after Joseph Henry, an American scientist. Interesting fact: He discovered electromagnetic induction independently, but at the same time as Michael Faraday. Faraday just got a lot of the credit because he published a lot of papers first. However, Henry did discover mutual inductance and self inductance.
See also
Further reading
Matter & Interactions, Volume 2 4th Edition (Section 22.6)
External links
http://www.physics.umd.edu/courses/Phys270/Jenkins/Hwksolns2TA.pdf
http://web.mit.edu/8.02t/www/materials/StudyGuide/guide10.pdf
http://physics.info/inductance/
References
This section contains the the references you used while writing this page





