Inductors
Short Description of Inductors Claimed by Yusra Asif Spring 2016
Overview
Think of self-induced emf as making a solenoid act like a battery that's been put in the circuit backwards- it opposes the change in current.
A Mathematical Model
What are the mathematical equations that allow us to model this topic. For example [math]\displaystyle{ {\frac{d\vec{p}}{dt}}_{system} = \vec{F}_{net} }[/math] where p is the momentum of the system and F is the net force from the surroundings.
A Computational Model
How do we visualize or predict using this topic. Consider embedding some vpython code here Teach hands-on with GlowScript
Examples
Be sure to show all steps in your solution and include diagrams whenever possible
Simple
If a solenoid is filled with iron, will it have a higher or lower inductance?
Answer: The solenoid will have a higher inductance, because the permeability constant has changed to the value of permeability of iron, which is much higher than that of free space. Therefore, the inductance will be higher with an iron core than with an air core.
Middling
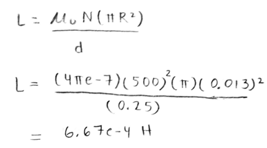
A 500-turn solenoid has a radius of 1.3 cm and a length of 25 cm. What is the inductance of this solenoid? (Problem taken from Matter & Interactions, Volume 2)
Difficult
Connectedness
- How is this topic connected to something that you are interested in?
- How is it connected to your major?
- Is there an interesting industrial application?
History
Put this idea in historical context. Give the reader the Who, What, When, Where, and Why.
See also
Are there related topics or categories in this wiki resource for the curious reader to explore? How does this topic fit into that context?
Further reading
Books, Articles or other print media on this topic
External links
References
This section contains the the references you used while writing this page



