Uploads by Gduncan9
Jump to navigation
Jump to search
This special page shows all uploaded files.
| Date | Name | Thumbnail | Size | Description | Versions |
|---|---|---|---|---|---|
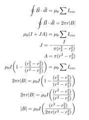
| 19:14, 25 November 2018 | Sol-3L.jpg (file) | 81 KB | 2 | ||
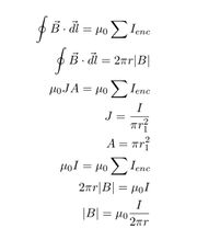
| 19:11, 25 November 2018 | Sol-1L.jpg (file) | 48 KB | 1 | ||
| 19:09, 25 November 2018 | Sol-2L.jpg (file) | 44 KB | 1 | ||
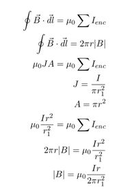
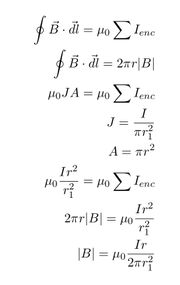
| 19:05, 25 November 2018 | Soln-1.jpg (file) | 48 KB | Updated with LaTeX | 2 |