AC and DC
Created by Jihoon Lee Claimed by Cal Elwer Fall 2016 Claimed by Udita Mahajan Spring 2025
The Main Idea
What are AC and DC?
AC and DC are different types of voltage or current used for the conduction and transmission of electrical energy. DC, or direct current, is the steady constant current in a circuit consisting of a battery and a resistor that moves in one direction. On the other hand, AC, or alternating current, changes over time in an oscillating repetition. When home appliances such as floor lamps are used, two slots of the wall socket supply a sinusoidally varying voltage, or AC voltage, to drive a sinusoidally varying current in the lamp. Due to AC's wave-like motion, AC can travel far distances efficiently compared to other currents. Typical home appliances which is powered by currents fundamentally from a far distance uses AC. Battery powered objects such as flashlights uses DC power. Electrons from the battery travel in one direction at a steady rate.
~AC currents are not always oscillating in sinusoidal motion, although most buildings and homes have sinusoidal AC currents. Other types of currents include:
The square wave, which is often used in digital electronics
The triangle wave, which is often used in sound synthesis
The importance is that the voltage is alternating over time. Here is a visualization of an AC current in the the alternating current of this water pump
Using the same water pump concept, here is a visualization of a DC current. The water can only flow in one direction.
A Mathematical Model
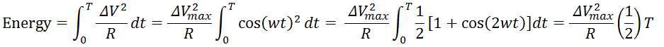
AC POWER Calculation
A "110 volts AC" has a sinusoid varying between "-155V" and "+155V". How does this happen?
When the input value for Vrms is 110 V, ΔVmax comes out to be 155 V which proves that the amount of energy delivered by both "110 V AC" and sinusoid varying between "-155V" and "+155V" are the same.
Examples
Simple
An AC circuit has a rms current of 8 Amps. The current travels through a 10 Ohm resistor.
What is the peak current? To find the max current, just multiply the rms of the current by the square root of 2. 8*sqrt(2) = 11.31
What is the peak voltage drop across the resistor? To find the voltage drop, use ohm's law. I*R = 11.31*10 = 113.1
Difficult
History
The history of AC and DC currents is very exciting. Back in the late 1880's, they called it the 'War of Currents'. On one side stood Thomas Edison, well known for his invention of the lightbulb. Thomas Edison advocated for direct currents for power distribution in the United States. On the other side stood Nikola Tesla, who supported and developed alternating currents.
The U.S originally used direct currents for power distribution with the aid of Thomas Edison, but there was a huge problem with converting to higher and lower voltages. This made powering houses in rural areas very difficult because a power plant would need to be close by.
Tesla thought that AC currents would be a solution to the problem because it could convert from high to low voltages relatively easily. Since Thomas Edison didn't want to lose the money he was making throughout the US on his DC patents, he began a campaign that spread false information about AC currents trying to deter the nation from switching over.
George Westinghouse believed that AC currents was the solution as well and was able to license Tesla's patents and use the technology in the industry. Westinghouse proved that AC currents were more efficient and cheaper to implement, so the industry switched over to AC currents.
As of late, there have been methods that are able to convert DC from high to low voltages, and some companies are also using high voltage DC to transport electricity over very long distances. As technology improves, both types of current will continue to rival each other.
Connectedness
- How is this topic connected to something that you are interested in?
- "Matter & Interactions" - Electric & Magnetic Interactions only provide RC calculations in-depth. However, in real life we encounter other kinds of circuits such as AC and DC.
- How is it connected to your major?
- Chemical Engineering requires the understanding of how various circuits work in order to create more efficient batteries and how batteries provide energy to the machines.
- Is there an interesting industrial application?
- AC circuits and DC circuits are already used daily in almost every objects that require electricity to function.
See also
Further reading
External links
http://www.allaboutcircuits.com/textbook/alternating-current/chpt-1/principles-of-radio/.html
http://www.animations.physics.unsw.edu.au/jw/AC.html
References
Chabay, Ruth W. Matter and Interactions: Electric and Magnetic Interactions. : John Wiley, 2015. Print.





