Ampere's Law
Improved by Joe Zein Fall 2017, Claimed by Diana Sweeney Spring 2018, Claimed by George Duncan Fall 2018
Ampere's Law is a relationship between the magnetic field of a closed path and the current around said path, produced by a central source. It can be viewed as an alternative version of the Biot-Savart law and can be applied to various physical situations. Discovered by Andre-Marie Ampere, this law is particularly useful when calculating the current distributions with considerable symmetry, or determining the resulting magnetic field from a symmetric current setup. This is a similar concept to Gauss' Law, which calculated Electric Flux.
The Main Idea
Students typically are aware that moving charges will produce magnetic fields, and that the magnitudes and directions of these fields may be either computed or roughly estimated, typically by the Right Hand Rule (if you are unfamiliar, visit the RHR Wiki Page). However, there is also a way for students to take a known pattern of magnetic field (from observation) and calculate, or at least approximate, the current that is causing such a field. This is where Ampere's law comes in to play: It is a quantitative association between measurements of magnetic field along a closed path and the amount and direction of the current passing through that boundary. It is important to note that without Maxwell's addition to Ampere's Law, the electric fields traveling through the enclosed surface must be constant.
Below is a summary of the essential steps involved in the application of Ampere’s law:
According to the Massachusetts Institute of Technology, Ampere's law can be broken down into seven individual steps:
Step 0: "Demonstrate the lack of dependence on the associated electric fields" (Not included in the MIT steps)
Step 1: "Identify the 'symmetry' properties of the charge distribution." What can this tell you about the big picture?
Step 2: "Determine the direction of the magnetic field." How does this affect the sign of your answer?
Step 3: "Decide how many different spatial regions the current distribution determines."
Step 4. "Choose an Amperian loop along each part of which the magnetic field is either constant or zero." How can you know when each case occurs?
Step 5: For each region of space, "Calculate the current through the Amperian Loop."
Step 6: For each region of space, calculate the line integral of the magnetic field and the change in area around the closed loop.
Step 7: For each region of space, equate that integral with mu(I)enc and solve for the magnetic field.
A Mathematical Model
Integral Form:
- [math]\displaystyle{ \oint_C \mathbf{B} \cdot \mathrm{d}\boldsymbol{\ell} = \mu_0 \iint_S \mathbf{J} \cdot \mathrm{d}\mathbf{S} = \mu_0I_\mathrm{enc} }[/math]
Differential Form:
- [math]\displaystyle{ \mathbf{\nabla} \times \mathbf{B} = \mu_0 \mathbf{J} }[/math]
- J is the total current density (in amperes per square meter, A·m−2),
- ∮C is the closed line integral around the closed curve C, generally in meters,
- ∬S denotes a 2-D surface integral over S enclosed by C,
- [math]\displaystyle{ \mathrm{d}\boldsymbol{\ell} }[/math] is an infinitesimal element of the curve C (i.e. a vector with magnitude equal to the length of the infinitesimal line element, and direction given by the tangent to the curve C),
- dS is the vector area of an infinitesimal element of surface S (that is, a vector with magnitude equal to the area of the infinitesimal surface element, and direction normal to surface S. The direction of the normal must correspond with the orientation of C by the right hand rule), see below for further explanation of the curve C and surface S,
- [math]\displaystyle{ I_\mathrm{enc} }[/math] is the total current passing through a surface S
A Computational Model
An overall good and simple example of using Ampere's Law is: https://www.youtube.com/watch?v=UUfZR33FblY
To view using Ampere's law to calculate the magnetic field of a toroid: https://www.youtube.com/watch?v=jdsUQs9w0uw
For the magnetic field in a coaxil cable from Ampere's Law: https://www.youtube.com/watch?v=IMoN6MVgOgA
To view the applications of Ampere's law in a coding setting (with Python GLowScript) that involves a toroid, check out this link: https://trinket.io/glowscript/687e198450
Examples
Simple
1. Question: Applying Ampere's law and using the figure below, calculate the magnitude and direction of current (I) passing through the shaded region.
Solution:
1. Observe that the boundary of interest is the line enclosing the shaded rectangle.
2. Decide what components will affect the overall generated current. Recall that:
- the components of the magnetic field (B) that run parallel to the surface distance ([math]\displaystyle{ \mathrm{d}\boldsymbol{\ell} }[/math]) are the only ones taken into account here, due to the nature of the dot product, which is in the integral we are taking.
- a positive current will be observed if the imaginary current is pointing out from the figure (using the right-hand rule)
- a negative current will be observed if the imaginary current is pointing into the figure (using the right-hand rule)
In the case above, the only components of magnetic field used in the calculation of the overall current will be the components of 2B running against the top and bottom surfaces (in the +x direction).
3. Apply the equation:
- [math]\displaystyle{ \oint_C \mathbf{B} \cdot \mathrm{d}\boldsymbol{\ell} = \mu_0 \iint_S \mathbf{J} \cdot \mathrm{d}\mathbf{S} = \mu_0I_\mathrm{enc} }[/math]
Using 2B[math]\displaystyle{ {\cos\theta} }[/math] as B and integrating across L, you should receive the answer 4B[math]\displaystyle{ {\cos\theta} }[/math]L[math]\displaystyle{ \mu_0 }[/math] (in amperes) for [math]\displaystyle{ I_\mathrm{enc} }[/math].
Middling
1. Question: Calculate the magnetic field of a solenoid with N number of turns at a point in the center of the solenoid.
Solution:
1. Choose a path that has nonzero current intersecting it and includes the point at which the magnetic field is being calculated.
Let our path be the dotted rectangle with width (length parallel to solenoid) L.
2. Walk along the path counterclockwise, starting from the top-right corner of the rectangle.
3. Add up the individual contributions of each leg of the path. From the top right corner to the top left corner, the contribution is 0, since the magnetic field outside the solenoid is very small, we approximate it to be zero. From the top left corner to the bottom left corner, the contribution is again 0 since the path and the magnetic field are perpendicular to each other. Therefore, their dot product is 0. From the bottom left corner to the bottom right corner, the contribution is BL. From the bottom right corner to the top right corner, again the contribution is 0, because, again, the path and the magnetic field are perpendicular to each other.
4. Set the sum of contributions equal to [math]\displaystyle{ \mu_0 \Sigma I }[/math] Since this solenoid has N turns, we must multiply the current I by N.
[math]\displaystyle{ BL = \mu_0 NI }[/math]
[math]\displaystyle{ B = {{\mu_0 NI}\over L} }[/math]
2. Question: Calculate the magnetic field of a toroid with N number of loops inside the toroid.
Solution:
1. We pick our path to travel along the perimeter of the toroid, letting the path be a circle of radius r, which is between the inner and outer radii of the toroid.
2. The contribution is simply the product of B and the circumference of our imaginary circle (our path):
[math]\displaystyle{ B2 \pi r = \mu_0 N I }[/math]
[math]\displaystyle{ B = {{\mu_0 N I}\over {2 \pi r}} }[/math]
Difficult
Question: The cross section of a coaxial wire is shown below. The wire is the inner blue region and the shell is the outer blue region. Both wire and shell have a current of identical magnitude I, but the currents run in opposite directions. Both wire and shell have uniform current density.
Calculate the magnetic field at three different regions:
1) Inner blue region 2) White riLink titleng 3) Outer blue region
Solution:
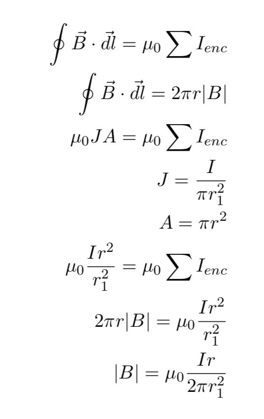
1) For r < r_1
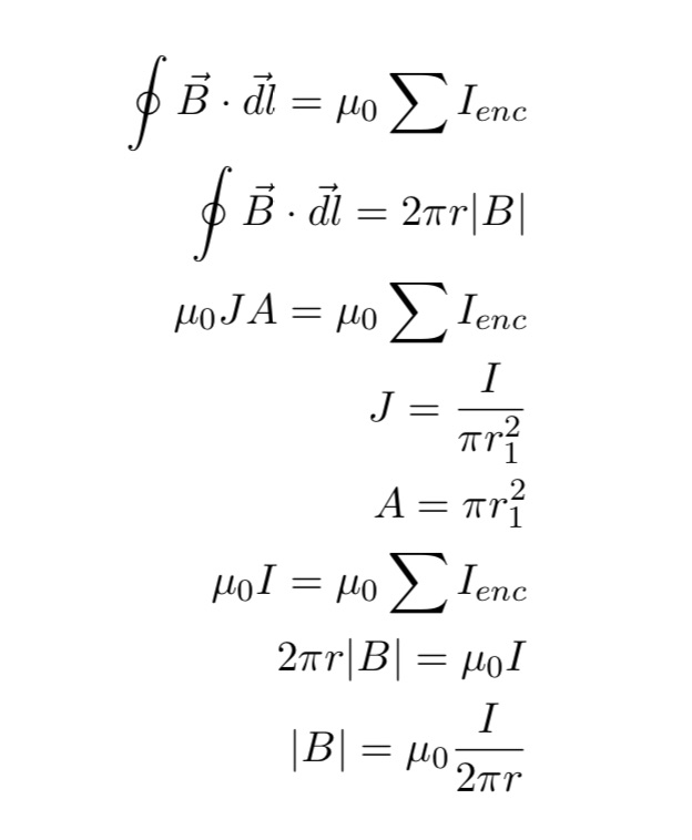
2) For r_1< r < r_2
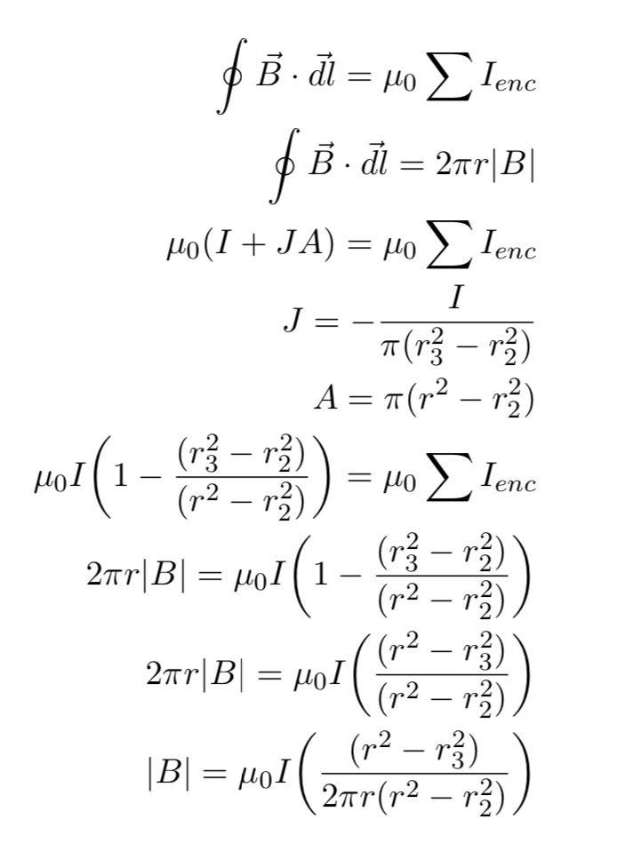
3) For r_2 < r < r_3
Connectedness
- How is this topic connected to something that you are interested in?
An application of Ampere's law in an area that interests me is Maglev trains. It's fascinating how magnetic fields are strong enough to suspend the huge body that is a train. These trains do not use the same motors that are in regular trains. Instead they use electromagnets and guide the trains over a guideway, raising it approximately 0.39 and 3.93 inches. Because they float on air, this eliminates friction and allows the trains to reach speeds getter than 300 miles per hour. Damn. This excerpt from How Stuff Works indicates more about how they work- "Once the train is levitated, power is supplied to the coils within the guideway walls to create a unique system of magnetic fields that pull and push the train along the guideway. The electric current supplied to the coils in the guideway walls is constantly alternating to change the polarity of the magnetized coils. This change in polarity causes the magnetic field in front of the train to pull the vehicle forward, while the magnetic field behind the train adds more forward thrust."
I also have a fond affinity towards MagLev trains. In high school, my art professor assigned everyone a topic to influence their artwork, and I was assigned Maxwell's Laws. I was confused as to how I could relate this to art, and I didn't even know what these equations were, but upon my research I quickly became familiar with MagLev trains. They were easily the most interesting topic under the Laws (for me anyway), and they still utterly fascinate me to this day. The immense speed and efficiency are overwhelming.
Another incredible application of ampere's law is the British invention of "wiping" or "degaussing" from World War Two. The German Navy was significantly smaller than the British fleet, and in an attempt to limit British access to the European mainland, the Germans placed a large number of sea-mines in access waterways. British recon vessels would spot the sea-mines and plan a route through the fields, yet the mines would detonate even when they were not hit, sinking British vessels. After an undetonated mine was recovered, the British learned this was due to a magnetic trigger on the sea-mines. The electrical systems onboard British ships would strongly magnetically polarize the vessel as it traveled through earths magnetic field. The British response to this was to run thick copper wire entirely around the boat. By pulsing 2000 ampere currents through the wire the magnetic field (greatly dependent on amperes law for accurate calculation) would greatly reduce the ships magnetic signature. The demagnetized ships could safely navigate the mined channels and supply troops on the European Mainland. As many as 400 ships used this method during the British retreat from Dunkirk. Incredibly accurate High Temperature Semiconductor degaussing systems were developed to bring the ships magnetic signature to a near zero. These systems were often too expensive to be used in large numbers. To counteract this the captain of vessels would frequently change the direction of the current in the degaussing wire, ensuring a minimum magnetic polarization of the vessel. This invention saved many lives during the second world war. More information on these navel defense applications can be found here: https://www.ibiblio.org/hyperwar/USN/Admin-Hist/172-ArmedGuards/172-AG-3.html
- How is it connected to your major?
As a chemical and biomolecular engineering major with a concentration in biotechnology (and currently on a pre-health track), I experience a lot of opportunities for involvement in healthcare. Ampere's law is used for magnetic resonance imaging while using an MRI. Healthcare is always needed, and an important tool to impact the lives of other people in your community. To find out more about this and its tie to Ampere's law, check out the link below:
http://www1.coe.neu.edu/~benneyan/healthcare/IE_at_Premier.pdf
As a Materials Science Engineer, all types of material properties are important, including Electric Conductivity, Magnetism, and thus Magnetic Flux. Materials need certain properties for their various functions, and flux can easily be one. A material that allows too much flux can be detrimental, and one that doesn't allow enough could not work properly. Being able to accurately measure and control properties like these are vital in MSE.
The calculus involved in Ampere's Law is often used to teach the instrumentality of line and surface integrals for Math majors. Modern Physics requires a deep background in calculus, and Ampere's Law is crucial for understanding more complex topics such as Maxwells Equations. This law is needed for the understanding of nuclear physics, which employs some of the most conceptually difficult math in the world.
- Is there an interesting industrial application?
Cite: http://www.gizmag.com/ge-magnetocaloric-refrigerator/30835/
An interesting industrial application that I've seen is also in the field of HVAC and involves refrigeration. And no it's not just the magnetism that lets you stick stuff on your fridge... The modern day fridge even though it's come a long way in terms of energy efficiency, still remains as the biggest leach of electricity in a household. Incorporating magnetism actually can have the effect of making refrigerators up to 30% more efficient than what's currently out there. It all started when the magnetocaloric effect, https://en.wikipedia.org/wiki/Magnetic_refrigeration when certain materials change temperatures in the presence of a varying magnetic field, was first observed. Such technology has not yet been implemented because of issues in how bulky it is. Michael Benedict, design engineer at GE Appliances describes it as being "about the size of a cart." That being said, be on the lookout in 10 or so more years when refrigerators based on this effect hit the markets!
Cite: http://www.gizmag.com/ge-magnetocaloric-refrigerator/30835/
Link to youtube video to embed: https://www.youtube.com/watch?v=WlKKKMTA7XM
Additionally, NASA utilizes the implications of Ampere's law when measuring the magnetic fields produced by time-varying currents when performing calculations on electric space thrusters and accelerators.
Ampere's Law, as mentioned before, is used in the technology of MagLev trains, which are quite incredible. You can read more about them here: https://science.howstuffworks.com/transport/engines-equipment/maglev-train.htm
This law is used to facilitate our understanding of Induction, and is key in the function of Power Plants, Generators, and Transformers which supply the energy that power our homes, businesses, hospitals and schools. The power coming through any outlet in your home relies directly on the application of Ampere's Law. This law may be one of the most instrumental developments for all of industry.
History
André-Marie Ampère, the founder of classical electromagnetism, was a French mathematician and physicist born into a merchant family. Due to his father’s strong beliefs, André was self-educated in his huge library. Fast forward about 30 years and André had become a well-established professor of mathematics, philosophy and astronomy at the University of Paris. In 1820, André had established what was later known as Ampere’s law. He was able to demonstrate that two parallel wires can be oriented, with different current flows, in a manner that let them either attract or repel one another. Andre established a relationship between the length of a current carrying wire and the strength of their currents. In 1827-28, André was elected as a Foreign Member of the Royal Swedish Academy of Science and a foreign member of the Royal Swedish Academy of Science. In 1881, a while after his death in 1836, the ampere, a standard unit of electrical measurement, was named after him.
When only a teenager, Andre's father was guillotined during the French Revolution before Ampere became a mathematics professor. However, it is admirable he still laid out the base of electrodynamics with his research and is considered one of the top researchers in experimental physics during such a traumatic time.
André-Marie Ampère developed a qualitative understanding of the law by observing compass deflections, and concluding and demonstrating that parallel wires carrying current in the same direction would create an attractive force. Ampère discovered the quantitative portion of the law by balancing the current in two long parallel straight wire's using a current balance. Then measured the magnetic attraction forces using a spring scale. By varying the strength of the current and the distance between the wires, he was able to develop the integral form of the law.
See also
Are there related topics or categories in this wiki resource for the curious reader to explore? How does this topic fit into that context?
Related topics or categories regarding Ampere's law, it would likely be helpful to understand all of Maxwell's equations: Gauss' law for electricity, Gauss' law for magnetism, Faraday's law of induction, in addition to Ampere's law. It is important to differentiate each formula and determine what it means and what it's looking for.
Further reading
Books, Articles or other print media on this topic
Maxwell's Equations, Paul G. Huray
Fundamentals of Electromagnetism: Vacuum Electrodynamics, Media, and Relativity, Arturo Lopez Davalos and Damian Zanette
External links
Internet resources on this topic
An incredible 3D representation of Electromagnetism and Maxwell's Laws: https://www.youtube.com/watch?v=9Tm2c6NJH4Y
Here is a demonstration of Ampere's Law by a North Carolina Statue University engineering student, showing how a current inducing a magnetic field creates a magnetic field along a circular path. This field creates a torque on bar magnet dipoles resulting in an increasing angular velocity. https://www.youtube.com/watch?v=ee_IEA6AsSI
For those proficient in French, here is an informal publication by Ampère to the Academié des Sciences describing his experimental findings and their implications in 1822, shortly before his formal publication of the law: https://gallica.bnf.fr/ark:/12148/bpt6k948000?rk=214593;2
References
This section contains the the references you used while writing this page
Section 21.6 PATTERNS OF MAGNETIC FIELD: AMPERE'S LAW pg. 883-889
http://hyperphysics.phy-astr.gsu.edu/hbase/magnetic/amplaw.html#c1
http://teacher.pas.rochester.edu/phy122/Lecture_Notes/Chapter31/chapter31.html
http://www.maxwells-equations.com/ampere/amperes-law.php
http://spp.astro.umd.edu/SpaceWebProj/CLASSES%20PAGES/SupplnSummaries/Sum%202.pdf
http://hyperphysics.phy-astr.gsu.edu/hbase/magnetic/amplaw.html
https://ntrs.nasa.gov/archive/nasa/casi.ntrs.nasa.gov/20140005775.pdf http://www1.coe.neu.edu/~benneyan/healthcare/IE_at_Premier.pdf
https://www.teachengineering.org/lessons/view/van_mri_lesson_7
http://www.edisontechcenter.org/InductionConcept.html







